| |
| Recently I was
able to buy a Dräger Tauchretter Model TR 60. This life saving
dive jacket was designed in the 60's and is a surprising
rebreather. One of the most interesting aspects of this
rebreather is that in fact it is a semiclosed rebreather! It is
well known that using pure oxygen rebreathers to escape from
depth introduces a big risk of oxygen toxicity. Semiclosed
rebreathers offer a improvement because the breathed gas has a
much lower oxygen content. This rebreather uses EAN 50! |
| |
| The TR 60 is a
very complete and well designed compact rebreather. Please check
the Gallery for photos. |
| |
| è
GALLERY ç |
| |
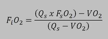
| To understand
how the rebreather works on depth I here made two calculations
to show why the partial pressure of oxygen is much lower with a
semiclosed rebreather compared tot the standard oxygen
rebreathers. The working principle is based on the semi-closed
equation: |
| |
 |
|
| The meaning of the formula is: |
| |
 |
|
|
The unit is equipped with a
constant mass flow regulator with a gas flow of 3,0 l/min. This
flow is constant to a depth of 40 meter. This means that the
intermediate pressure is 10 bar on the orifice. The flow will
continue to 10 bar and the stops. This will happen o a depth of
90 meters. Becauese the flow is constant to half the IP at 40
meter there will be exact 3,0 ltr/min. Imagine a diver who uses
0,5 ltr oxygen per minute the partial pressure he is breathing
can be calculated with the mentioned equation.
|
|
FiO2 = unknown
|
|
Qs = 3,0 ltr/min
|
|
FsO2 = 0,5 (EAN 50)
|
|
VO2 = 0,5 ltr/min
|
|
FiO2 = ((3,0ltr/min x
0,5)-0,5)) / (3,0 ltr/min - 0,5 ltr/min) = 0,4 meaning the
fraction of the inhaled gas is 0,4. The gas is EAN 40 breathed
at 40 meter the partial pressure of oxygen at depth is 5 bar
ambient pressure x 0,4 bar oxygen pressure = 2 bar ! In the 60's
military divers where supposed to be capable of breathing 2 bar
oxygen! Fortunately this has been changed, although this unit
would only be used in a emergency situation and therefore the
2,0 bar is not so crazy..
|
|
|
|
When the diver uses more
oxygen due to swimming or stress the unit can be used deeper.
Imagine a oxygen consumption of 0,8 liter per minute the
inspired gas is:
|
|
|
|
FiO2 = ((3,0ltr/min x
0,5)-0,8)) / (3,0 ltr/min - 0,8 ltr/min) = 0,318. When a gas is
breathed with a fraction of 0,318 th maximum depth when 2 bar
oxygen pressure is allowed is 2bar / 0,318 = 6,28 bar. On a
depth of 52,8 meter the rebreather feeds EAN 31,8 resulting in a
oxygen pressure of 2bar.
|
| |
| In the
following manual you find more details about this very
nice unit! |
| |
 |
| |
 |
| |
 |
| |
 |
| |
 |
| |
 |
| |
 |
| |
 |
| |
 |
| |
 |
| |
 |
| |
 |
| |
 |
| |
 |
| |
 |
| |
 |
| |
| For additional pictures please
check the
GALLERY |
| |
| I would
like to thank Joe Brandt for his kind cooperation sending me the
manual and info about this great unit. Please check Joe's
website
here |
| |
|
|
|
|
| |
If you have additional
information, pictures or information about this unit please do
not hesitate to send it to: jw.bech@quicknet.nl |
last modified
08-09-2010 |